Services Include:
Location Information
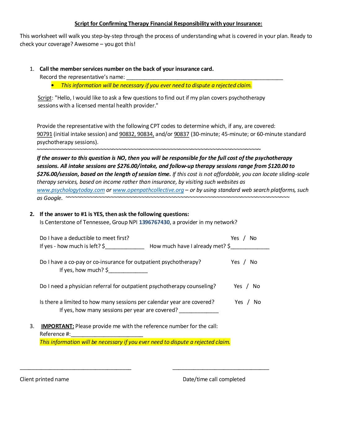
Welcome to Centerstone’s Virtual Clinic, providing secure and convenient behavioral health services from the comfort of your home.
| Initial Appointments | (877) 467-3123 |
|---|---|
| Main | (615) 279-8850 |
Welcome to Centerstone’s Virtual Clinic, providing secure and convenient behavioral health services from the comfort of your home.
Welcome to Centerstone's Virtual Clinic, your gateway to secure, convenient, and compassionate mental health care from the comfort of your home. The Virtual Clinic is a telehealth only service designed for clients who prefer or require flexible scheduling. Over the last five years, virtual therapy has proven to be a successful and accessible option, and we launched the Virtual Clinic to expand access and streamline care. All sessions are conducted through secure Zoom video appointments using a computer, tablet, or smartphone, and our telehealth platforms are HIPAA compliant to help protect your privacy and confidentiality.
Medication management is not provided through the Virtual Clinic. Clients who need medication services are referred to a Centerstone location near their home or workplace.
Our goal is to make mental health care more accessible, flexible, and effective for individuals and families across Tennessee, wherever you are.
The Virtual Clinic at Centerstone
Virtual therapy has been available to our clients since the beginning of the COVID-19 pandemic. In response to the success of implementation of virtual care, Centerstone opened the Virtual Clinic to provide greater access for clients with specific scheduling needs.
Our Virtual Clinic clients are only seen via telehealth. Telehealth means that you can see your usual provider using secure video chat via Zoom. Using a computer, tablet, or cell phone, you will be able to see, hear, and speak with your clinician and discuss your plan of care without having to leave your home.
Our telehealth platforms are confidential and HIPAA compliant so you can feel at ease that your privacy is protected.
The Virtual Clinic does not offer medication management. Clients are referred to Centerstone clinics close to their home or place of employment for medication management services.





















Explore articles and resources related to telehealth, virtual care, and client access. These posts are automatically curated from our blog using relevant tags.
The ongoing COVID-19 pandemic has resulted in mass quarantining around the world. Since such measures began, the increased isolation has led to a significant rise in mental and physical health ...
Use the following documents to prepare for virtual care and learn more about your rights, responsibilities, and billing.
Stay connected with upcoming groups, workshops, and events offered through the Virtual Clinic.
This evidence‑based group is designed to teach practical skills, increase motivation, and support members in reducing tobacco use and breaking free from a highly harmful habit. The group focuses on
Register For The Zoom Training *This session is intended for residents of Tennessee. Register For The Zoom Training Synopsis of Training: This live training focuses on providing tele-mental health
This evidence‑based group is designed to teach practical skills, increase motivation, and support members in reducing tobacco use and breaking free from a highly harmful habit. The group focuses on
Seeking Safety is an evidence-based skills group tailored to women who have experienced trauma or substance use. Seeking Safety offers 25 topics, each representing coping skills relevant to trauma and substance use disorder, such as healthy relationships, healing from anger, and recovery thinking. To promote a safe and effective treatment group, this event is only
Step Into the Conversation: You Are Not Alone Join Centerstone in Alton this Mental Health Awareness Month for a community event centered on connection, awareness, and hope. Thursday, May 7, 2026 Alton, Illinois 3:00 p.m. - 5:00 p.m. CT Public Event Event Details Location Centerstone Alton - Edwards Street, 2615 Edwards Street, Alton, IL 62002
Lighting the Way for Mental Health Join Centerstone in Marion for a Mental Health Awareness Month event focused on visibility, connection, and community support. Friday, May 8, 2026 Marion, Illinois Resource Fair: 3:00 p.m. - 6:00 p.m. CT Plaza Lighting: 4:00 p.m. - 5:00 p.m. CT Event Details Location Tower Square Plaza, 1102 Tower Square
This evidence‑based group is designed to teach practical skills, increase motivation, and support members in reducing tobacco use and breaking free from a highly harmful habit. The group focuses on building healthier routines and encouraging engagement in treatment and meaningful activities. Who can Join? All individuals in Centerstone services are welcome, including: Individuals who are
Register For The Zoom Training *This session is intended for residents of Tennessee. Register For The Zoom Training Synopsis of Training: This course is designed to teach and help staff deliver the core components of Cognitive Behavioral Therapy for Substance Use Disorders (CBT for SUD), an evidence based psychotherapy, to clients experiencing substance use
Crisis Response Planning is a strategy designed to assist an individual who might be at risk for suicide by offering alternative self-selected actions and activities they can use in times
This evidence‑based group is designed to teach practical skills, increase motivation, and support members in reducing tobacco use and breaking free from a highly harmful habit. The group focuses on building healthier routines and encouraging engagement in treatment and meaningful activities. Who can Join? All individuals in Centerstone services are welcome, including: Individuals who are
Seeking Safety is an evidence-based skills group tailored to women who have experienced trauma or substance use. Seeking Safety offers 25 topics, each representing coping skills relevant to trauma and substance use disorder, such as healthy relationships, healing from anger, and recovery thinking. To promote a safe and effective treatment group, this event is only
Hope Starts Here: Food, Mental Health, and Community Support Join Centerstone and the City of West Frankfort for a community event focused on mental wellness, practical support, and connection. Friday, May 15, 2026 West Frankfort, Illinois 2:00 p.m. - 4:00 p.m. CT Public Event Event Details Location Centerstone - West Frankfort Office, 902 West Main